March 13, 2020

¡Antes de la primer flor aplica Nitrabor!

El concepto de pre-floración hace referencia al momento previo a la antesis o apertura floral. En café una buena floración es un indicador de una buena productividad, por lo tanto un reto para lograr aumentar la productividad del cultivo es lograr que dichas flores formadas lleguen con éxito a ser frutos cosechables.
Pre-floracion
Pre-floracion

 

El concepto de pre-floración hace referencia al momento previo a la antesis o apertura floral. En café una buena floración es un indicador de una buena productividad, por lo tanto un reto para lograr aumentar la productividad del cultivo es lograr que dichas flores formadas lleguen con éxito a ser frutos cosechables. De acuerdo con Arcila (2007), los porcentajes de retención de frutos de café arábico después de la floración son altamente variables es la baja capacidad de las hojas de la plata (fuente) de enviar hidratos de carbono a los frutos (órganos demanda) y lograr su permanencia en los nudos. Lo anterior ocurre porque durante los primeros 180 días se inicia una etapa de rápido crecimiento del fruto de café con una alta demanda de hidratos de carbono, agua y nutrientes, en este periodo y especialmente entre los 60 y 180 días después de floración ó días de formación del fruto ocurre la mayor demanda de agua y de nutrientes esenciales determinantes en el tamaño y calidad del fruto.

Pre-floración

De acuerdo con Bertsch et al. (2009); Sadeghian et al (2013) en café arábico, el calcio es el tercer nutriente de mayor demanda por parte del fruto de café después del potasio y el nitrógeno, y su mayor pico de absorción igual que el boro ocurre durante los primeros 90 días de formación del fruto. De acuerdo con investigaciones desarrolladas por Yara y el Instituto Agronómico de Campinas de Brazil en café (de Souza, 2014) el mayor pico de demanda de calcio en el flujo de savia se presenta justo en el momento de la pre-floración cuando el botón floral ya está visible. Basado en los antecedentes anteriores, la presente investigación tuvo como objetivo evaluar el efecto de YaraLiva NITRABOR aplicado en prefloración sobre el número de frutos formados y retenidos por rama en café.

Métodos

Chinchiná - Departamento de Caldas, zona cafetera Centro - Occidental de  Colombia, temperatura media 20.7°C, temperatura máxima 25.3°C y mínima 15.1°C, suelo (Andisoles), ácido con pH = 5.1.

Tabla 1. Descripción de los tratamientos para ambos ensayos.

Tabla1

Tabla 2. Aportes nutricionales de los tratamientos.

Tabla 2

Figura1

Figura 1. Condición fisiológica al momento de la aplicación de los tratamientos en prefloración a.
Ensayo 1, b.

Resultados

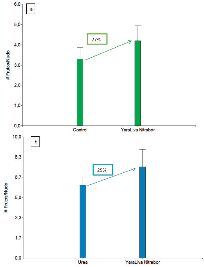
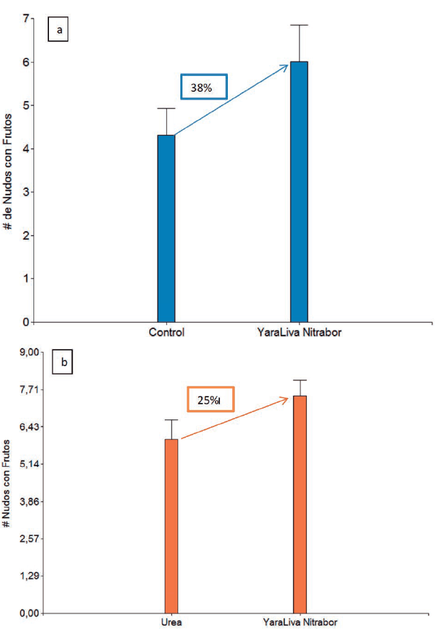
En el tratamiento 1 el incremento en el número nudos con frutos en la rama marcada fue de 38% y en el número de frutos por nudo del 27% debido a la aplicación de YaraLiva NITRABOR en prefloración, respecto al tratamiento control que no tuvo aplicación de nutrientes. En el tratamiento 2, la aplicación de YaraLiva NITRABOR respecto al testigo Urea presentó un incremento del 25% en el número de nudos con frutos y en el número de frutos por nudo. Los resultados anteriores estarían indicando que las aplicaciones de Nitrógeno en forma de Urea en prefloración ayudan a incrementar levemente el número de frutos retenidos 6 meses después, pero queda en evidencia que es mucho mayor el incremento en la retención de frutos después de la aplicación de YaraLiva NITRABOR.

Figura 2

Figura 2. Fotografía de la rama evaluada a los 6 meses despúes de la aplicación de los
tratamientos en prefloración Ensayo 2 a. Urea y b YaraLiva NITRABOR.

Grafica 1

 

Grafica 2

Figura 4. Número de frutos por nudo promedio en las ramas marcadas en prefloración 6
meses después de la aplicación de los tratamientos a. Ensayo 1 y b. Ensayo 2.

 

¿De qué manera éstos resultados agregan valor a los caficultores?

 

Con rangos de aplicación de YaraLiva NITRABOR en prefloración entre 300 a 450 kg.ha - 1, dependiendo de la edad y la densidad de la plantación, se puede incrementar la productividad hasta en un 32%, con un valor generado para el productor equivalente a 323 dólares por hectárea año. El uso de YaraLiva NITRABOR tiene otros beneficios sobre  la acidez del suelo, la calidad y sanidad del fruto y la productividad, que no presentan otras fuentes de nitrógeno como la Urea o SAM y fuentes insolubles de calcio. Dichos beneficios serán detallados en publicaciones posteriores.

YaraLiva NITRABOR

¡Registrare y obtén el programa nutricional de NuestroCafé by Yara! Haz clic en la siguiente imagen

PNCafe